FAQs Complain Problems

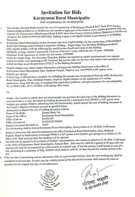
Invitation of Bids(KRM/NCB/W/01/2081/082)

It appears your Web browser is not configured to display PDF files. Download adobe Acrobat or click here to download the PDF file.

Click here to download the PDF file.

आर्थिक वर्ष:

प्रकार:

//